빛의 속도(광속)에 가까운 속도로 여행하면 시간은 멈출까?

빛의 속도로 여행한다면 시간은 어떻게 될까? 상대성 이론과 시간의 신비
우리는 모두 시간의 흐름을 당연하게 받아들이며 살아갑니다. 하지만 만약 우리가 빛의 속도에 가까운 속도로 여행할 수 있다면, 시간은 어떻게 변할까요? 이 글에서는 아인슈타인의 상대성 이론을 바탕으로 빛의 속도로 이동할 때 시간에 어떤 변화가 일어나는지, 그리고 그 의미를 자세히 살펴보겠습니다.

빛의 속도와 시간의 관계, 아인슈타인의 통찰
알버트 아인슈타인은 20세기 초에 특수 상대성 이론을 발표하며 시간과 공간의 개념에 혁명적인 변화를 가져왔습니다. 그의 이론에 따르면, 우리가 빛의 속도에 가까운 속도로 움직이면 시간은 우리가 느끼는 것과는 다르게 흐르게 됩니다. 이 현상은 시간 지연(Time Dilation)이라고 불리며, 이는 빛의 속도에 도달할수록 더욱 두드러집니다.
아인슈타인의 방정식에 따르면, 관찰자의 속도가 빛의 속도에 가까워질수록 시간의 흐름은 느려지게 됩니다. 즉, 고속으로 이동하는 우주선 내부에서의 시간은 지구에서 관측하는 시간보다 느리게 흐릅니다. 이러한 개념은 단순한 이론에 머무르지 않고, 현대 물리학의 핵심 원리 중 하나로 자리잡고 있습니다.

특수 상대성 이론과 시간 지연의 원리
특수 상대성 이론은 두 가지 중요한 원칙을 포함합니다. 첫째, 모든 물리 법칙은 모든 관성계(즉, 일정한 속도로 움직이는 관찰자들)에서 동일하게 적용된다는 것입니다. 둘째, 진공에서의 빛의 속도는 관찰자의 운동 상태에 관계없이 일정하다는 것입니다.
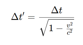
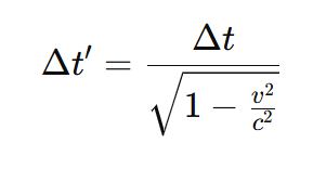
이 두 가지 원칙은 시간과 공간이 절대적이지 않고, 관찰자의 속도에 따라 상대적이라는 결론에 이르게 합니다. 이때 중요한 공식 중 하나는 다음과 같습니다

여기서
- Δ𝑡′ 는 고속으로 이동하는 관찰자에게서 측정된 시간 간격,
- Δt 는 정지해 있는 관찰자가 측정한 시간 간격,
- 𝑣 는 관찰자의 속도,
- 𝑐 는 빛의 속도입니다.
이 공식에 따르면, 𝑣 가 𝑐 에 가까워질수록 분모의 값이 작아지며, Δ𝑡′ 는 Δ𝑡보다 훨씬 크게 측정됩니다. 다시 말해, 빠르게 이동하는 우주선 내부에서는 시간이 느리게 흐르는 것입니다.
우주 여행과 시간의 왜곡 – 실생활 예시
이론적으로는 빛의 속도로 이동하는 우주선을 상상할 수 있지만, 현실에서는 아직 기술적인 한계 때문에 불가능합니다. 그러나 상상을 통해 이해를 돕기 위해 다음과 같은 가상의 상황을 고려해봅니다.
우주선 여행의 예시
가령, 우주선을 타고 빛의 속도에 매우 근접한 속도로 여행을 떠난다고 상상해 봅시다. 지구에서 10년이 흘렀다고 하더라도, 우주선 내부에서는 몇 달 또는 몇 년밖에 지나지 않았을 수도 있습니다. 이는 우주선 탑승자가 지구로 돌아왔을 때, 자신은 젊은 상태로 남아 있고 지구는 훨씬 더 오래 변화했다는 의미입니다.
인터스텔라에서는 시간의 왜곡에 대해서 잘 보여주었습니다.
시간 지연의 역설과 패러독스
이러한 시간의 비대칭성은 ‘쌍둥이 역설(Twin Paradox)’이라는 유명한 사고 실험을 통해서도 잘 설명됩니다. 한 쌍둥이 중 한 명은 빛의 속도에 가까운 우주선을 타고 먼 우주를 여행한 후 돌아오고, 다른 한 명은 지구에 머무릅니다. 여행을 마친 쌍둥이는 지구에 머무른 쌍둥이보다 눈에 띄게 젊은 상태임이 관측됩니다. 이 역설은 처음에는 직관에 반하는 것처럼 보이지만, 상대성 이론의 공식과 실험적 증거로 뒷받침됩니다.
빛의 속도로 이동하는 것의 과학적, 철학적 의미
물리적 한계와 기술적 도전
현재 우리가 보유한 기술로는 빛의 속도에 도달하거나 그에 근접하는 속도로 이동하는 것이 불가능합니다. 우주선의 추진력, 에너지 소모, 그리고 안전 문제 등 여러 기술적 도전이 존재합니다. 그러나 미래의 기술 발전이 이루어진다면, 시간 지연 현상을 직접 경험할 수 있는 날이 올지도 모릅니다.
시간과 공간의 상대성 – 우리의 인식 변화
빛의 속도로 여행할 때 발생하는 시간 지연 현상은 우리가 시간과 공간을 바라보는 관점을 근본적으로 바꿔 놓습니다. 시간은 더 이상 절대적이거나 불변하는 개념이 아니라, 관찰자의 운동 상태에 따라 달라지는 상대적인 요소임을 알게 됩니다. 이는 철학적인 측면에서도 깊은 의미를 가지며, 우리의 존재와 우주에서의 위치에 대한 새로운 통찰을 제공합니다.
미래 우주 여행과 인류의 도전
우리가 빛의 속도로 이동하는 날이 온다면, 우주 여행과 인간의 삶은 지금과는 전혀 다른 양상을 띠게 될 것입니다. 시간의 흐름이 다르게 느껴진다면, 우주 탐사와 장거리 여행은 새로운 차원의 경험이 될 것입니다. 예를 들어, 먼 은하계로의 여행이 단순한 시간과 거리에 의한 문제가 아니라, 시간 자체의 상대성을 고려한 복잡한 문제로 전개될 것입니다.
또한, 이런 현상은 미래의 우주 거주 가능성, 시간 여행, 그리고 인류의 우주 정착에 관한 새로운 연구 분야를 열어줄 수 있습니다. 물론, 이 모든 것이 아직은 이론적인 논의에 머물러 있지만, 과학자들은 이미 이를 현실화하기 위한 연구와 실험을 진행 중입니다.
빛의 속도와 시간의 왜곡 – 실험적 증거와 사례
빛의 속도로 이동할 때의 시간 지연은 단순한 이론적 주장만이 아닙니다. 현대 물리학에서는 여러 실험을 통해 이 현상을 확인하였습니다.
입자 가속기와 시간 지연
입자 가속기는 입자를 빛의 속도에 매우 가깝게 가속시키는데, 이때 입자들이 붕괴하는 시간이 지상에서 측정한 시간보다 현저하게 길어지는 현상이 관찰됩니다. 이는 입자들의 수명이 실제보다 연장되어 보이는 것으로, 상대성 이론의 시간 지연 효과가 입증된 사례 중 하나입니다.
인공위성의 시간 보정
또한, GPS와 같은 인공위성 시스템에서도 시간 지연 효과를 고려하여 시계를 보정합니다. 위성이 지구 주위를 돌면서 경험하는 상대적 속도와 중력의 차이로 인해 시간이 조금씩 다르게 흐르기 때문에, 이 오차를 보정하지 않으면 위치 정보의 정확도가 크게 떨어지게 됩니다. 이러한 사례는 우리가 일상에서 직접적으로 접하는 시간 지연 현상의 실용적인 증거로 볼 수 있습니다.

빛의 속도로 이동한다면 – 상상 속의 시나리오와 미래 전망
빛의 속도로 여행하는 것은 현재로서는 공상 과학 소설의 영역에 머무르고 있지만, 그 개념은 우리에게 많은 상상력을 자극합니다.
상상 속의 시간 여행
빛의 속도에 가까운 여행은 일종의 시간 여행 효과를 가져옵니다. 우주선을 타고 먼 우주로 나아갔다 돌아온다면, 그 동안 지구에서는 수십 년, 수백 년이 흘렀을 수도 있습니다. 이와 같은 시간 차이는 인류가 우주에서 새로운 삶의 방식을 모색하는 데 있어 놀라운 가능성을 열어줍니다.
우주의 비밀과 인류의 미래
시간과 공간의 상대성은 우주의 비밀을 풀어가는 열쇠 중 하나입니다. 우리가 빛의 속도에 근접해 이동한다는 것은 단순한 이동 수단의 변화뿐만 아니라, 시간의 흐름 자체를 이해하고 통제하는 새로운 시대를 열 수 있다는 것을 의미합니다. 미래의 우주 여행에서는 이러한 상대성 이론이 더욱 중요한 역할을 하게 될 것이며, 이는 인류의 우주 정복과 탐사의 지평을 넓히는 데 결정적인 영향을 미칠 것입니다.
시간의 신비와 빛의 속도 여행
빛의 속도로 여행한다면, 우리가 알고 있던 시간의 개념은 완전히 달라집니다. 아인슈타인의 특수 상대성 이론이 증명하듯, 고속으로 이동하는 관찰자에게는 시간이 느리게 흐르며, 이는 단순한 이론을 넘어 실험과 기술로 입증된 사실입니다. 우주선 탑승자가 지구에서 측정되는 시간보다 훨씬 느린 시간 흐름을 경험한다는 점은, 미래 우주 여행과 인류의 운명에 대해 깊은 사색을 하게 만듭니다.
현재로서는 빛의 속도로 이동하는 것이 불가능하지만, 상대성 이론이 제시하는 시간 지연 효과는 이미 입자 가속기 실험과 인공위성 시스템에서 확인되고 있습니다. 이러한 과학적 증거는 우리가 시간과 공간에 대해 갖고 있던 기존의 인식을 넘어, 우주의 깊은 신비를 탐구하는 데 중요한 단서를 제공해 줍니다.
우리가 앞으로 기술의 발전을 통해 빛의 속도에 근접하는 속도로 이동할 수 있는 날이 온다면, 그때 경험하게 될 시간의 변화는 단순한 과학적 호기심을 넘어 인류의 미래와 문명의 발전에 혁명적인 변화를 가져올 것입니다.
마치며
빛의 속도로 여행한다면 시간은 어떻게 될까요? 이 질문은 단순히 과학 소설 속의 상상이 아니라, 현대 물리학의 핵심 원리인 특수 상대성 이론이 실제로 증명한 사실입니다. 우리가 우주를 탐험하는 그날까지, 시간과 공간의 상대성은 인류에게 무한한 상상력과 도전 의식을 불러일으키는 주제가 될 것입니다.
댓글